Two Postulates of Special Relativity
- To solve the contradiction that occurs with movement close to the speed of light when using Galilean relativity, Albert Einstein devised the postulates of special relativity.
First Postulate
- The laws of physics are the same in all inertial frames of reference.
- In our own reference frame, we are always stationary.
Second Postulate
- The speed of light, c, in a vacuum, is the same in all inertial frames of reference.
- No matter whether you are standing still or flying in a spaceship at a speed close to that of light, you will always observe the speed of light as c.
Simultaneity
- If two or more events occur at the same place at the same time, then they are simultaneous for all observers in all reference frames.
- If two or more events occur at different places, then it is possible that they could be simultaneous for one observer in one reference frame, but not be simultaneous for other observers in other reference frames.
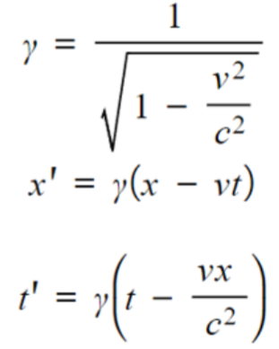
Lorentz Transformation Equations
- Lorentz transformations are a correction of the Galilean relativity equations for speeds close to the speed of light.
- They make this correction by multiplying the equations by a scaling factor, γ.
- This is called the Lorentz Factor.


- Like in Galilean relativity, x', y', z' and t' are generally attributed to the "moving" object.

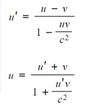
Velocity Addition Transformations
- Lorentz transformation equations for velocity enforce that the velocity of an object that moves in the same direction with a moving reference frame cannot be greater than the speed of light when it is observed from a stationary reference frame.
